ویرا سگال کارو
ویرا سگال کارو
shop icon svg
پلی آکریل آمید کاتیونی
  • تعداد بازدید : ۲۷۱ بار

0
پلی آکریل آمید کاتیونی

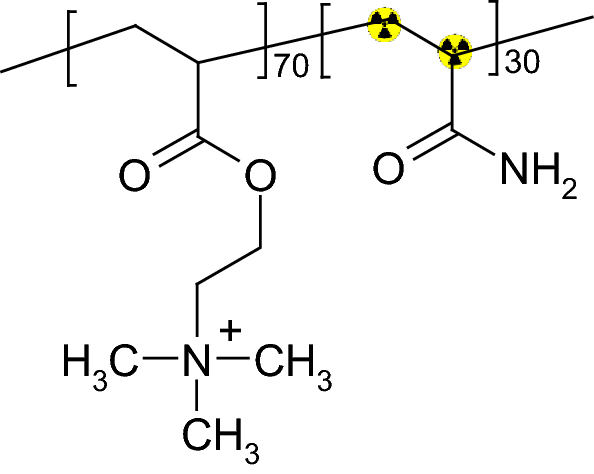
پلی آکریل آمید کاتیونی یا پلی الکترولیت با بار مثبت یکی از اصلی ترین مواد منعقد کننده می باشد که در صنعت تصفیه آب و فاضلاب کاربرد گسترده ای دارد. استفاده از پلی آکریل آمید کاتیونی به معنای جذب ذرات معلق در آب و پساب های صنعتی با بار منفی و خنثی سازی محیط و لخته کردن این مواد می باشد. گروه مهر آذر یکی از بزرگترین تامین کننده های پلی آکریل امید کاتیونی می باشد که این مواد پلیمری را با بالاترین کیفیت از بهترین برندهای دنیا ارائه می دهد. در ادامه به معرفی پلی الکترولیت کاتیونی پرداخته و به مزایا و روش تولید و همچنین مضرات آن برای سلامتی بدن می پردازیم .

پلی آکریل آمید کاتیونی
پلی آکریل آمید کاتیونی چیست؟

پلی آکریل آمید یا PAM (polyacrylamide) یکی از مواد منعقد کننده می باشد که به صورت زنجیره ای طولانی بوده و دارای آکریل آمید یا NH۲ با فرمول شیمیایی CH۲CHCONH۲ است. این ترکیبات پلیمری دارای وزن مولکولی بالایی هستند و به صورت محلول در آب و مایع و پودر در صنایع مختلف مورد استفاده قرار میگیرند. مهم ترین ویژگی پلی آکریل آمید کاتیونی، بهره مندی از بار مثبت و قدرت بالا در جذب ذرات با بار منفی می باشد. ذرات با بار منفی معلق در پساب ها مانند ذرات شن و ماسه، جذب این پلیمرها شده و پس از از دست دادن بار منفی خود، به صورت لخته به هم چسبیده میشوند و در نهایت در کف استخرهای تصفیه ته نشین خواهند شد. همان طور که از نام این پلیمر مشخص است، بخش مهمی از آن آکریل آمید یا NH۲ می باشد که به شدت واکنش پذیر و فعال است .

پس از ورود پلی آکریل آمید کاتیونی به درون مخزن و استخرهای تصفیه فاضلاب، NH۲ یا آکریل آمیدهای فعال آن ذرات با بار منفی را جذب نموده و روی سطح این ذرات قرار میگیرد. با از دست دادن آب در این مرحله، لخته با حجم کم تولید میشود و به مرور به حجم آن افزوده خواهد شد. در نهایت، لایه های بزرگ از لجن و مواد لخته شده روی سطح به کف استخر یا تصفیه خانه منتقل و ته نشین خواهند شد. در واقع با استفاده از پلی آمید آکریل کاتیونی می توان سرعت لخته سازی و انعقاد و ته نشینی ذرات مواد معلق باردار موجود در آب و پساب ها افزایش داد

مشخصات اطلاعات شرکت فروشنده این محصول

شرکت فروشنده : مهر آذر ماشین
تلفن همراه : ۰۹۱۲۱۲۵۹۵۴۷
تلفن ثابت : ۰۲۱۲۲۱۴۸۶۳۴
اطلاعات بیشتر : مشاهده
فرم ثبت سفارش آنلاین
هنوز دیدگاهی ثبت نشده است
loading
دیدگاه شما ارسال شد
پلی آکریل آمید کاتیونی

پلی آکریل آمید کاتیونی یا پلی الکترولیت با بار مثبت یکی از اصلی ترین مواد منعقد کننده می باشد که در صنعت تصفیه آب و فاضلاب کاربرد گسترده ای دارد. استفاده از پلی آکریل آمید کاتیونی به معنای جذب ذرات معلق در آب و پساب های صنعتی با بار منفی و خنثی سازی محیط و لخته کردن این مواد می باشد. گروه مهر آذر یکی از بزرگترین تامین کننده های پلی آکریل امید کاتیونی می باشد که این مواد پلیمری را با بالاترین کیفیت از بهترین برندهای دنیا ارائه می دهد. در ادامه به معرفی پلی الکترولیت کاتیونی پرداخته و به مزایا و روش تولید و همچنین مضرات آن برای سلامتی بدن می پردازیم .

پلی آکریل آمید کاتیونی
پلی آکریل آمید کاتیونی چیست؟

پلی آکریل آمید یا PAM (polyacrylamide) یکی از مواد منعقد کننده می باشد که به صورت زنجیره ای طولانی بوده و دارای آکریل آمید یا NH۲ با فرمول شیمیایی CH۲CHCONH۲ است. این ترکیبات پلیمری دارای وزن مولکولی بالایی هستند و به صورت محلول در آب و مایع و پودر در صنایع مختلف مورد استفاده قرار میگیرند. مهم ترین ویژگی پلی آکریل آمید کاتیونی، بهره مندی از بار مثبت و قدرت بالا در جذب ذرات با بار منفی می باشد. ذرات با بار منفی معلق در پساب ها مانند ذرات شن و ماسه، جذب این پلیمرها شده و پس از از دست دادن بار منفی خود، به صورت لخته به هم چسبیده میشوند و در نهایت در کف استخرهای تصفیه ته نشین خواهند شد. همان طور که از نام این پلیمر مشخص است، بخش مهمی از آن آکریل آمید یا NH۲ می باشد که به شدت واکنش پذیر و فعال است .

پس از ورود پلی آکریل آمید کاتیونی به درون مخزن و استخرهای تصفیه فاضلاب، NH۲ یا آکریل آمیدهای فعال آن ذرات با بار منفی را جذب نموده و روی سطح این ذرات قرار میگیرد. با از دست دادن آب در این مرحله، لخته با حجم کم تولید میشود و به مرور به حجم آن افزوده خواهد شد. در نهایت، لایه های بزرگ از لجن و مواد لخته شده روی سطح به کف استخر یا تصفیه خانه منتقل و ته نشین خواهند شد. در واقع با استفاده از پلی آمید آکریل کاتیونی می توان سرعت لخته سازی و انعقاد و ته نشینی ذرات مواد معلق باردار موجود در آب و پساب ها افزایش داد

مشخصات اطلاعات شرکت فروشنده این محصول

شرکت فروشنده : مهر آذر ماشین
تلفن همراه : ۰۹۱۲۱۲۵۹۵۴۷
تلفن ثابت : ۰۲۱۲۲۱۴۸۶۳۴
اطلاعات بیشتر : مشاهده
فرم ثبت سفارش آنلاین